結腸癌(CRC)是世界范圍內的嚴重健康問題,每年約 70 萬人因結腸癌死亡,我國開國上將陳毅和彭德懷元帥,“兩彈”元勛鄧稼先等偉人均是患結腸癌而死,且從確診到之后死亡時間較長僅間隔 19 個月。CRC 的死亡率主要歸因于術后復發和轉移。盡管較近在治療方法上取得了進步,但 CRC 的預后仍遠未令人滿意。因此,了解 CRC 致癌機制對于 CRC 的診斷和治療至關重要。
m6A“寫入”蛋白(METTL3,METTL14)的失調已經被報道與多種癌種失調有關,XIST(X inactivate-specific transcript)是一種新近鑒定出的 lncRNA,是多種腫瘤的癌基因。因此本文研究了 M6A“寫入”蛋白 METTL14 在 CRC 中的功能及其潛在作用機制,初次揭示了 METTL14 和 m6A 修飾在結直腸癌中的重要作用,對預測 CRC 的預后具有重要參考價值。

主要結果
(1)METTL14 抑制 CRC 細胞的體外增殖和轉移
為了研究 m6A 在大腸癌中的作用,首先檢測了 37 例 CRC 患者腫瘤組織和正常組織中主要 m6A 甲基轉移酶 METL3 和 METL14 的 mRNA 水平。與正常樣品相比,癌變組織中的 METTL14 顯著下調,而 METTL3 的表達水平沒有明顯變化。將 METTL14 表達水平與 CRC 患者的臨床病理特征進行相關性分析發現,METTL14 含量與腫瘤大小,轉移和 TNM 期數呈負相關,表明 METTL14 可能在抑制 CRC 的增殖和侵襲中起重要作用。通過敲除 METTL14 基因,構建體內和體外腫瘤模型,發現 METTL14 低表達后,CRC 細胞的增殖能力和細胞轉移能力顯著增強。

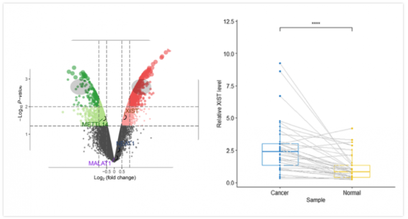
(2)METTL14 通過下調 lncRNA XIST 抑制 CRC 的生長和轉移
為研究 METTL14 抑制 CRC 細胞侵襲和轉移的機制,對轉錄組測序結果進行了 GSEA 分析發現 METTL14 與 ncRNA 代謝、ncRNA 加工、RNA 降解正相關,與生長因子結合,膠原三聚體和膠原結合等信號通路呈負相關,因此,猜測 METTL14 可能通過靶向下調這些途徑中的癌基因或致癌 lncRNA 發揮抗腫瘤活性。
取小鼠腫瘤組織進行 RNA 測序發現,lncRNA XIST 在敲除 METTL14 的小鼠中含量顯著升高,且 METTL14 表達水平與 XIST 呈負相關。而抑制 XIST 表達,可以明顯抑制 CRC 細胞生長和轉移。



(3)METTL14 通過 m6A-YTHDF2 依賴性途徑下調 XIST
為驗證 METTL14 下調 XIST 的功能是否直接取決于其 m6A 催化活性,本文構建了 METTL14 過表達模型,發現 METTL14 過表達時 XIST 含量顯著降低,并抑制 CRC 細胞的生長和侵襲作用。而在 METTL14 過表達細胞中敲除 WTAP 以抑制 m6A 過程,結果顯示敲除 WTAP 可減輕 METTL14 過表達引起的 XIST 降低水平,恢復 CRC 細胞的生長和侵襲。敲除 METTL14 或 WTAP 均導致 XIST m6 甲基化水平顯著降低,表明 METTL14 誘導 XIST 下調取決于 m6A 復合物的形成和隨后的 m6A 甲基化過程。
m6A 甲基化是一種標記程序,必須由 m6A 解讀蛋白識別才能進一步處理靶 RNA。為了確定 XIST 與 CRC 細胞中 m6A 解讀蛋白之間的結合,本文通過免疫沉淀 YTH 家族蛋白后檢測 XIST 含量發現,m6A 解讀蛋白 YTHDF2 免疫沉淀劑中 XIST 水平明顯高于對照組,而敲除 YTHDF2 導致 HCT116 和 HT29 細胞中 XIST 的表達顯著增加。在敲除 YTHDF2 的 CRC 細胞中 XIST 衰減速率顯示降低,表明 YTHDF2 介導 lncRNA XIST 降解。




總結
本文 CRC 細胞中鑒定了一個“METTL14-YTHDF2-lncRNA XIST”調節網絡,從而對 m6A 在 CRC 中的功能和機制有了系統性的認識。通過明確 METTL14 的關鍵作用和預后價值,為開發針對 CRC 的新療法提供了新的可能。

伯豪生物服務產品助力國內外臨床科研單位發表 SCI 論文 1900 余篇,雜志總影響因子超過 10000 分,其中 Nature、Science、Cell、Lancet Oncol 等高水平論文等高水平論文超過 50 篇。影響因子大于 5 分的文章 659 篇,影響因子大于 10 分的文章 255 篇,影響因子大于 20 分的文章 78 篇,文章領域涉及腫瘤、免疫、神經、發育等多個領域。

更多伯豪生物人工服務:

