今年年初,應用 Olink 蛋白組技術已發表 20 篇文章,包含 8 篇一區文章,其中 2 篇文章分別發表在免疫學和柳葉刀呼吸病雜志(IF 均大于 30),文章質量可以說也是相當高了。小編先著重分享這兩篇高分神作,文末給大家附上整理好的文獻列表,有興趣的老師聯系我們即可輕松獲取全文啦!
01

標題:免疫蛋白質組學分析揭示 COVID-19 感染后出現呼吸道疾病患者中呼吸道的異常免疫細胞調節
期刊:Immunity(IF 31.745)
時間:2021/01/26
單位: 倫敦帝國理工學院
摘要: 一些既往急性 COVID-19 感染患者會出現持續數月的呼吸道癥狀。這篇文章分析了一組出院 3 個月以上且肺部持續放射檢測異常的既往住院的 COVID-19 患者的呼吸道和外周血免疫細胞和蛋白質組的組成。與健康個體相比,COVID-19 感染后患者肺泡灌洗液蛋白質組表達異常,與凋亡、組織修復和上皮損傷相關的蛋白質濃度明顯升高,然而在配對的外周血中并未觀察到相同的現象。在呼吸道功能障礙更嚴重的個體中觀察到細胞毒性淋巴細胞數量的增加,而 B 細胞數量的增加和單核細胞亞群的改變與更廣泛的肺異常有關。對 COVID-19 感染后患者的一年隨訪表明,這些異常會隨著時間的推移而消除。總的來說,COVID-19 導致持續性肺病患者呼吸道免疫格局的長期改變,有證據表明細胞死亡和組織修復與細胞毒性 T 細胞的持續激活有關。
科學問題: 既往 COVID-19 感染后出現呼吸系統疾病的患者呼吸道和外周血中的免疫特征?
實驗設計:
? 分組:健康人(n=29)的外周血和肺泡灌洗液;既往感染 COVID-19 病史且 3 個月后確診呼吸道疾病患者(n-38)的外周血和肺泡灌洗液,以及隨訪 12 個月的外周血和肺泡灌洗液。
? 技術:Olink Target-96(Inflammation,Immune Response,Cardiometabolic,Cardiovascular 2,Cardiovascular 3),質譜流式等
結果展示:
? 血漿與肺泡灌洗液樣本入組信息

? Olink 蛋白組顯示既往感染 COVID-19 隨發呼吸道疾病患者的肺泡灌洗液蛋白組顯著改變,血漿蛋白組差異不顯著

? 肺泡灌洗液中細胞毒性 T 細胞增加與上皮損傷和呼吸道疾病有關,髓細胞和 B 細胞數量與肺部 CT 異常程度相關

02

標題:進行性纖維化性間質性肺病的蛋白組特征—— 多中心隊列研究
期刊:Immunity(IF 30.7)
時間:2021/01/18
單位: 加州大學
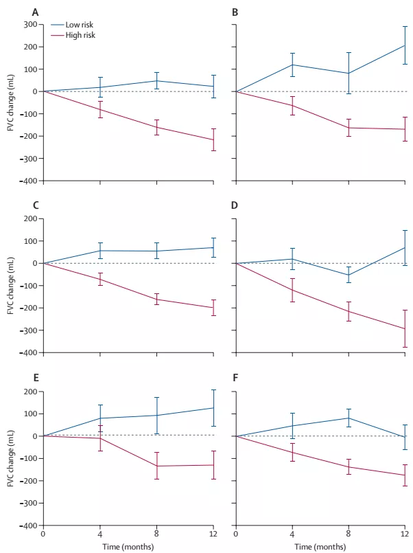
摘要: 進行性纖維化間質性肺病涵蓋一系列,其特征是呼吸衰竭加速、疾病頻繁惡化和早期死亡。目前沒有能夠在纖維化進展發生之前鑒別出風險較高的患者的方法。這項研究使用 Olink Explore-384 Inflammation 對 588 個進行性纖維化性間質性肺病患者血漿樣本進行檢測,通過機器學習共鑒定到 17 個標志物,在預測纖維化性間質性肺病患者風險方面具有巨大的潛力,且不同肺纖維化亞型中均顯示出高度一致性。
科學問題: 進行性纖維化性間質性肺病的早期診斷血漿標志物?
實驗設計:
? 分組:結締組織疾病相關間質性肺病、慢性過敏肺炎、不可分類間質性肺病患者的血漿樣本發現集(n=384),驗證集 204 例。
? 技術:Olink Explore-384 Inflammation
結果展示:
? Olink 蛋白組在發現集中共篩選到 31 個與肺纖維化進展相關的血漿蛋白質,其中 17 個蛋白質在驗證集中被進一步驗證

? 根據基線肺功能臨床試驗排除標準控制入組,發現集保留 270 例樣本,驗證集保留 119 例樣本。Olink 血漿蛋白組結合機器學習(LASSO 篩選得到由 12 個蛋白質組成的肺纖維化蛋白質組學風險評估模型,定義評分小于 0.3 的為低風險人群,大于等于 0.3 的為高風險人群。和低風險人群相比,高風險人群 1 年內大肺活量變化明顯。

2022 新 Olink 文獻列表(IF>5),感興趣的老師聯系我們輕松獲取全文吧! 咨詢熱線:17702139967。

